Publications
Below we list only papers published by researchers when they were based at the Institute. Papers from when staff worked elsewhere, or before the NZBRI opened in 2004, can be found on the pages of individual researchers.
For papers restricted to particular research topics, refer to specific lab or research group pages.
2026
(2026). Ultra-high contrast MRI of the brain and spinal cord using directly acquired and synthetic BipoLAr Inversion Recovery (BLAIR) images. Quantitative Imaging in Medicine and Surgery, 16(1), 91. 10.21037/qims-2025-1680
(2026). Breathing control training as a treatment for functional seizures (BREATHS trial): a multicentre, assessor-blinded, randomised controlled efficacy and acceptability trial study protocol. BMJ Open, 16(1), e107687.. 10.1136/bmjopen-2025-107687
(2026). The clinical association of left atrial appendage thrombus on CTA with functional outcome. European stroke journal, 11(1), 239698732513772. 10.1093/esj/23969873251377215
2025
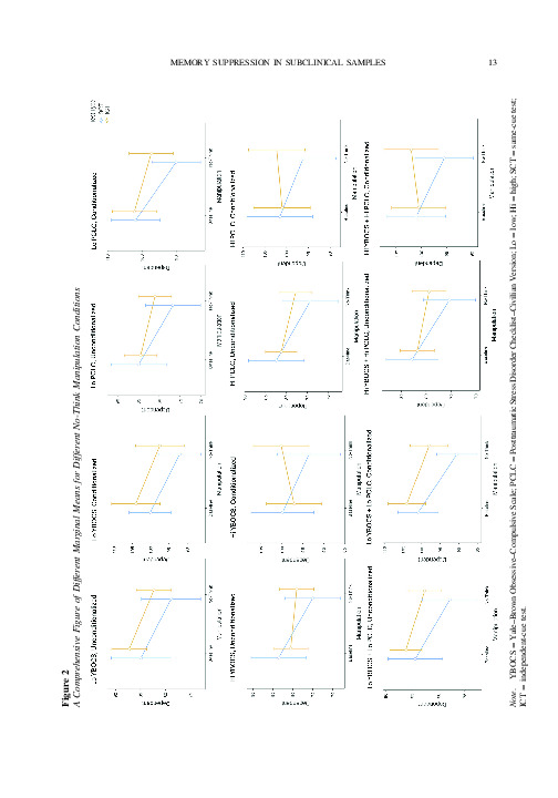
(2025). Suppression-induced forgetting in obsessive-compulsive and posttraumatic stress subclinical samples. Psychology & Neuroscience. 10.1037/pne0000365
(2025). Comparative analysis of hippocampal volume and stress levels between medical and non-medical undergraduate female students. Medicine, 104(38), p.e44455.. 10.1097/MD.0000000000044455
(2025). Neuropsychological Tests of Memory, Visuospatial, and Language Function in Parkinson's Disease: Review, Critique, and Recommendations. Movement disorders, 40(5), 795-806. 10.1002/mds.30166
(2025). Attention/working memory and executive function in Parkinson's disease: review, critique, and recommendations. Movement disorders. 10.1002/mds.30293
(2025). Tackling a disease on a global scale, the Global Parkinson’s Genetics Program, GP2: A new generation of opportunities. American Journal of Human Genetics, 112(9), 2025, 07, 014. 10.1016/j.ajhg.2025.07.014
(2025). A Novel Wide Convolutional Neural Network (WideConvNet) applied to ERP-based Classification of Alcoholics. IEEE Access, vol. 13, 31257-31268. 10.1109/ACCESS.2025.3541985
(2025). Log subtracted inversion recovery. Magnetic Resonance Imaging, 110328. 10.1016/j.mri.2025.110328
(2025). The role of incidental magnetization transfer in divided subtracted inversion recovery. NMR in Biomedicine, 38(12), e70165. 10.1002/nbm.70165
(2025). Ultra-High Contrast MRI of the Brain and Spinal Cord using Directly Acquired and Synthetic BipoLAr Inversion Recovery (BLAIR) Images, Preprints. Preprints.org. 10.20944/preprints202505.2380.v5
(2025). Lifespan tree of brain anatomy: diagnostic values for motor and cognitive neurodegenerative diseases. Human Brain Mapping, 46(13), e70336.. 10.1002/hbm.70336
(2025). A Systematic Review of Communication-Focused Dementia Interventions for Indigenous Communities. Dementia, 147130122513589. 10.1177/14713012251358912
(2025). Joint spatial associations of amyloid beta and tau pathology in Down syndrome and preclinical Alzheimer's disease: Cross‐sectional associations with early cognitive impairments. Alzheimer's & Dementia, 21(7), p.e70424.. 10.1002/alz.70424
(2025). [18F] MK-6240 radioligand delivery indices as surrogates of cerebral perfusion: bias and correlation against [15O] water. Journal of Nuclear Medicine, 66(3), 410-417. 10.2967/jnumed.124.268701
(2025). A transdiagnostic, multi-modal approach to understanding apathy: Methodological and analytical framework. NeuroImage: Reports, 5(4), 100289. 10.1016/j.ynirp.2025.100289
(2025). Visuospatial outcomes of a prospective national cohort of young adults with very low birthweight. Pediatric research, 1-7. 10.1038/s41390-025-03890-9
(2025). Trajectories of Pontine Volume in Patients with Multiple System Atrophy. Movement Disorders. 10.1002/mds.30182
(2025). A Call for Change: Updating the Operational Definition for Dementia in Parkinson's Disease. Movement Disorders Clinical Practice, 12(3), 296-301. 0.1002/mdc3.14305
(2025). Beyond a syndrome: a mechanism for depression in Parkinson’s disease. Brain, 148(6), 1859-1861. 10.1093/brain/awaf165
(2025). Author Response: Cross-Sectional and Longitudinal Association of Clinical and Neurocognitive Factors With Apathy in Patients With Parkinson Disease. Neurology, 104(5), e209958.. 10.1212/WNL.0000000000209958
(2025). Understanding disrupted motivation in Parkinson’s disease through a value-based decision-making lens. Trends in Neurosciences. 10.1016/j.tins.2025.02.008
(2025). Decision cost hypersensitivity underlies Huntington’s disease apathy. Brain, 148:3, 861–874. 10.1093/brain/awae296
(2025). Decision context and neurobehavioural disturbance in Huntington’s disease. Cognitive, Affective & Behavioral Neuroscience, 1-14. 10.3758/s13415-025-01359-0
(2025). Goal-directedness deficit in Huntington’s disease. Cognitive, Affective, & Behaviora, 1-14. 10.3758/s13415-025-01313-0
(2025). Apathy, effort-based decisions and brain integrity in Alzheimer’s and Parkinson’s diseases. Brain, p.awaf393.. 10.1093/brain/awaf393
(2025). Magnetic Resonance Imaging as a Readout of CLN5 Gene Therapy Efficacy in Sheep. Brain and Behavior, 15, e70431. 10.1002/brb3.70431
(2025). Assessing balance and walking of people with Parkinson's disease via telehealth. Disability and Rehabilitation. 10.1080/09638288.2025.2546556
(2025). Effect on Dyskinesia of the Early Combination of Amantadine to Levodopa‐Therapy in Parkinson's Disease: A Randomized. , Placebo‐Control. 10.1002/mds.70120
(2025). Transient gray matter decline during antarctic isolation: Roles of sleep, exercise, and cognition. npj Microgravity, 11(1), 39. 10.1038/s41526-025-00497-6
(2025). Insights into ancestral diversity in Parkinson's disease risk: A comparative assessment of polygenic risk scores. npj Parkinson's Disease, 11, 201. 10.1038/s41531-025-00967-4
(2025). Structuring, sequencing, staging, selecting: the 4S method for the longitudinal analysis of multidimensional questionnaires in chronic diseases. Biometrics, 81(4), ujaf163.. 10.1093/biomtc/ujaf163
(2025). Neuroimaging-based data-driven subtypes of spatiotemporal atrophy due to Parkinson’s disease. Brain communications, 7(2), p.fcaf146.. 10.1093/braincomms/fcaf146
(2025). Validation of the Caregiver Analysis of Reported Experiences with Swallowing Disorders (CARES) screening tool for neurodegenerative disease. American Journal of Speech-Language Pathology, 34(2), 633-645. 10.1044/2024_AJSLP-24-00253
(2025). Dysphagia Symptoms Contribute to Greater Care Partner Burden in Neurodegenerative Disease. American journal of speech-language pathology, 1-9. 10.1044/2025_AJSLP-24-00529
(2025). Improving predictability, reliability, and generalizability of brain-wide associations for cognitive abilities via multimodal stacking. PNAS Nexus, 4(6), p.pgaf175.. 10.1093/pnasnexus/pgaf175
(2025). Convergent large-scale network and local vulnerabilities underlie brain atrophy across Parkinson's disease stages: a worldwide ENIGMA study, Brain. . doi:10.1093/brain/awaf432
(2025). DunedinPACNI estimates the longitudinal Pace of Aging from a single brain image to track health and disease. Nature Aging, 1-18. 10.1038/s43587-025-00897-z
(2025). Frailty outperforms chronological age as a predictor of improved outcomes: a retrospective multinational cohort thrombectomy study of stroke patients aged above 70 with anterior circulation stroke. Journal of Neurointervention, 1, 3. 10.21037/jni-25-2
2024
(2024). Early‐phase amyloid PET reproduces metabolic signatures of cognitive decline in Parkinson's disease. Alzheimer's & Dementia: Diagnosis, Assessment & Disease Monitoring, 16(2), e12601.. 10.1002/dad2.12601
(2024). Further delineation of short chain enoyl CoA hydratase deficiency in the Pacific population. Molecular Genetics and Metabolism, 108508. 10.1016/j.ymgme.2024.108508
(2024). Cerebral perfusion is not impaired in persons with moderate obstructive sleep apnoea when awake. Sleep and Breathing, Online, 1-8. 10.1007/s11325-024-03048-7
(2024). Validation of an ultrahigh contrast divided subtracted inversion recovery technique using a standard T1 phantom. NMR in Biomedicine, 37(12), p.e5269.. 10.1002/nbm.5269
(2024). A statement of the MDS on biological definition, staging, and classification of Parkinson's disease. Movement Disorders, 39(2), 259-266. 10.1002/mds.29683
(2024). Ultra-High Contrast MRI: The Whiteout Sign Shown with Divided Subtracted Inversion Recovery (dSIR) Sequences in Post-Insult Leukoencephalopathy Syndromes (PILS). Tomography, 10(7), 983-1013. 10.3390/tomography10070074
(2024). A reward self-bias leads to more optimal foraging for ourselves than others. Scientific Reports, 14, 26845. 10.31234/osf.io/8r45z
(2024). Ultra-High Contrast MRI: Using Divided Subtracted Inversion Recovery (dSIR) and Divided Echo Subtraction (dES) Sequences to Study the Brain and Musculoskeletal System. Bioengineering, 11(5), 441. 10.3390/bioengineering11050441
(2024). Māori ancestral knowledge of communication. AlterNative: An International Journal of Indigenous Peoples, 20(4), 741-754. 10.1177/11771801241290117
(2024). Effort‐based decision making and white matter tracts associated with dimensions of apathy in Alzheimer’s and Parkinson’s disease. Alzheimer's & Dementia, 20, e095204.. 10.1002/alz.095204
(2024). CADMUS: A Novel MRI-Based Classification of Spontaneous Intracerebral Hemorrhage Associated With Cerebral Small Vessel Disease. Neurology, 102(1), e207977. 10.1212/WNL.0000000000207977
(2024). Higher Frequency of Stuttered Disfluencies Negatively Affects Communicative Participation in Parkinson's Disease. Journal of Speech Language and Hearing Research, 1-12. 10.1044/2024_JSLHR-24-00018
(2024). Effects of One Season of Rugby on the Neurological Integrity of Adolescent Players. .
(2024). Verbal Learning and Memory Deficits across Neurological and Neuropsychiatric Disorders: Insights from an ENIGMA Mega Analysis. Brain Sciences, 14(7), 669. 10.3390/brainsci14070669
(2024). Multi-ancestry genome-wide association meta-analysis of Parkinson’s disease. Nature genetics, 56, 27-36. 10.1038/s41588-023-01584-8
(2024). A worldwide study of subcortical shape as a marker for clinical staging in Parkinson’s disease. npj Parkinson's Disease, 10(1), 223. 10.1038/s41531-024-00825-9
(2024). Cross-Sectional and Longitudinal Association of Clinical and Neurocognitive Factors With Apathy in Patients With Parkinson Disease. Neurology, 102(12), e209301. 10.1212/WNL.0000000000209301
(2024). Apathy and Impulsivity Co-Occur in Huntington's Disease. Brain and Behavior, 14: e70061.. 10.1002/brb3.70061
(2024). Disrupted Time Perception Underlies Motivational Disturbances in Huntington’s Disease. Timing & Time Perception, 1(aop), 1-24. 10.1163/22134468-bja10115
(2024). Diagnosis of Delayed Post-Hypoxic Leukoencephalopathy (Grinker’s Myelinopathy) with MRI Using Divided Subtracted Inversion Recovery (dSIR) Sequences: Time for Reappraisal of the Syndrome? Diagnostics, 14(4), 418. 2075-4418/14/4/418
(2024). A Worldwide Study of White Matter Microstructural Alterations in People Living with Parkinson's Disease. medRxiv, 2024-01. 10.1101/2024.01.16.24301235
(2024). Behavioral Management of Respiratory/Phonatory Dysfunction for Dysarthria Associated With Neurodegenerative Disease: A Systematic Review. American Journal of Speech-Language Pathology, 1-29. 10.1044/2023_AJSLP-23-00274
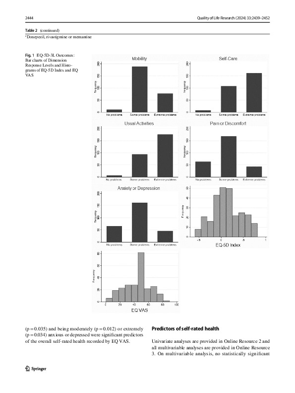
(2024). Factors associated with self-rated health in people with late-stage parkinson’s and cognitive impairment. Quality of Life Research, 33(9), 2439-2452. 10.1007/s11136-024-03703-2
(2024). Thrombolysis for ischaemic stroke despite direct oral anticoagulation. Stroke and vascular neurology, svn-2023.. 10.1136/svn-2023-002727
(2024). Dementia dementia's risk factors and premorbid brain structure are concentrated in disadvantaged areas: National register and birth-cohort geographic analyses. Alzheimer's Dementia, 1-12. 10.1002/alz.13727
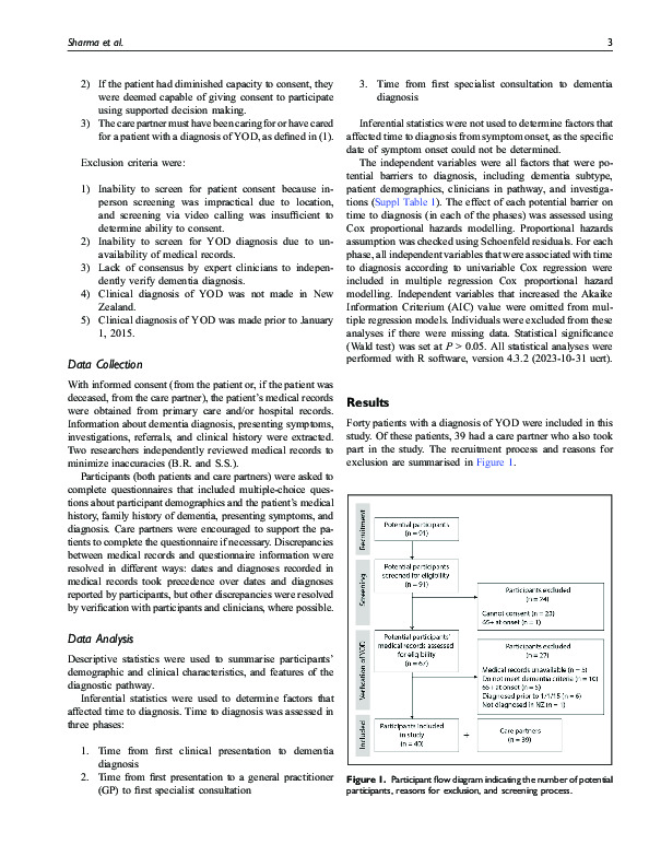
(2024). Determinants of Time to Diagnosis in Young-Onset Dementia. American Journal of Alzheimer's Disease & Other Dementias®, 39, 153331752413095. 10.1177/15333175241309525
(2024). Cholinergic basal forebrain integrity and cognition in Parkinson’s disease: a re-appraisal of MRI evidence. Movement Disorders, 12, 2155-2172. 10.1002/mds.30023
(2024). Baseline perihematomal edema, C-reactive protein, and 30-day mortality are not associated in intracerebral hemorrhage. Frontiers in neurology, 15, 1359760. 10.3389/fneur.2024.1359760
(2024). Investigation of structural connectivity in the whole brain and frontoparietal network in groups at risk of Alzheimer’s disease dementia. Alzheimer's & Dementia, 20. 10.1002/alz.094761
(2024). Global Perspectives on Returning Genetic Research Results in Parkinson Disease. Neurology: Genetics, 10(6), e200213.. 10.1212/NXG.0000000000200213
(2024). Improving Predictability, Reliability and Generalisability of Brain-Wide Associations for Cognitive Abilities via Multimodal Stacking. bioRxiv. 10.1101/2024.05.03.589404
(2024). Localization of stuttering based on causal brain lesions. Brain, 147(6), 2203-2213. 0.1093/brain/awae059
(2024). Evaluation of deep‐learning TSE images in clinical musculoskeletal imaging. Journal of Medical Imaging and Radiation Oncology. 10.1111/1754-9485.13714
(2024). A blood biomarker of the pace of aging is associated with brain structure: replication across three cohorts. Neurobiology of Aging, 136, 23-33. 10.1016/j.neurobiolaging.2024.01.008
(2024). An estimate of the longitudinal pace of aging from a single brain scan predicts dementia conversion, morbidity, and mortality. bioRxiv. 10.1101/2024.08.19.608305v1
(2024). Conscious but not thinking—Mind‐blanks during visuomotor tracking: An fMRI study of endogenous attention lapses. Human Brain Mapping, 45(11), e26781. 10.1002/hbm.26781
2023
(2023). Classification accuracy of the event-related potentials-based Brain Fingerprinting and its robustness to direct-suppression and thought-substitution countermeasures. Applied Cognitive Psychology, 1, 1-16. 10.1002/acp.4050
(2023). Eyelid nystagmus and other involuntary movements of the upper lids; what's in a name? Movement Disordors Clinical Practice. 10.1002/mdc3.13805
(2023). Associations between thinner retinal neuronal layers and suboptimal brain structural integrity: Are the eyes a window to the brain? Eye and Brain, 25-35. 10.2147/EB.S402510
(2023). Predicting risk of AF in ischaemic stroke using sinus rhythm ECG abnormalities: A meta-analysis. European Stroke Journal, 239698732311725. 10.1177/23969873231172559
(2023). Clinical outcomes with delayed mechanical thrombectomy: Descriptive analysis and development of a screening tool. European Journal of Neurology, 3, 671-677. 10.1111/ene.15658
(2023). Extracellular vesicle biomarkers for cognitive impairment in Parkinson’s disease. Brain, 146(1), 195–208. 10.1093/brain/awac258
(2023). Assessing preparedness for Alzheimer disease‐modifying therapies in Australasian health care systems. The Medical Journal of Australia, 218(6), 247-249. 10.5694/mja2.51880
(2023). A statement of the MDS on biological definition, staging, and classification of Parkinson's disease. Movement Disorders. 10.1002/mds.29683
(2023). Using the EQ-5D-5L to investigate quality-of-life impacts of disease-modifying therapy policies for people with multiple sclerosis (MS) in New Zealand. The European Journal of Health Economics, 24, 939–950. 10.1007/s10198-022-01518-x
(2023). Healthy human laryngopharyngeal sensory innervation density correlates with age. The Laryngoscope, 133(4), 773-784. 10.1002/lary.30287
(2023). Thalamus, thalamocortical networks, and non-motor symptoms in Parkinson’s disease. book chapter in Cerebral Cortex and Thalamus XII.
(2023). Cognitive and arginine metabolic correlates of temporal dysfunction in the MIA rat model of schizophrenia risk. Behavioral Neuroscience, 137(1), 67–77. 10.1037/bne0000540
(2023). Endovascular thrombectomy for acute ischaemic stroke improves and maintains function in the very elderly: A multicentre propensity score matched analysis. European Stroke Journal, 8(1), 191-198. 10.1177/23969873221145778
(2023). Subthalamic nucleus shows opposite functional connectivity pattern in Huntington’s and Parkinson’s disease. Brain Communications, 5(6), p.fcad282.. 10.1093/braincomms/fcad282
(2023). Acquired Stuttering in Parkinson's Disease. Movement Disorders Clinical Practice. 10.1002/mdc3.13758
(2023). Cyclic Glycine-Proline (cGP) Normalises Insulin-Like Growth Factor-1 (IGF-1) Function: Clinical Significance in the Ageing Brain and in Age-Related Neurological Conditions. Molecules, 28, 1021. 10.3390/molecules28031021
(2023). The thalamic reuniens is associated with consolidation of non-spatial memory too. Frontiers in Behavioral Neuroscience, 17, 2023-04. 10.3389/fnbeh.2023.1215625
(2023). Letter to the Editor: Virtual reality in post-stroke neurorehabilitation – a systematic review and meta-analysis. Topics in Stroke Rehabilitation, Online, 1-1. 10.1080/10749357.2023.2209362
(2023). Bridging Big Data: Procedures for Combining Non-equivalent Cognitive Measures from the ENIGMA Consortium. bioRxiv, 2023-01. 10.1101/2023.01.16.524331
(2023). Cerebellar Volume and Disease Staging in Parkinson's Disease: An ENIGMA-PD Study. Movement Disorders. 10.1002/mds.29611
(2023). Multiple sclerosis mortality in New Zealand: a nationwide prospective study. Journal of Neurology Neurosurgery & Psychiatry, jnnp-2022-33058. 10.1136/jnnp-2022-330582
(2023). Sensorimotor Cough Dysfunction in Cerebellar Ataxias. The Cerebellum, 1-10. 10.1007/s12311-023-01635-0
(2023). Atrial fibrillation detected before or after stroke: role of anticoagulation. Annals of neurology. 10.1002/ana.26654
(2023). The New Zealand Parkinson’s Progression Programme. Journal of the Royal Society of New Zealand, 53, 466-488. 10.1080/03036758.2022.2111448
(2023). Intravenous Thrombolysis in Patients With Ischemic Stroke and Recent Ingestion of Direct Oral Anticoagulants. JAMA Neurology. 10.1001/jamaneurol.2022.4782
(2023). Altered nucleus accumbens functional connectivity precedes apathy in Parkinson’s disease. Brain, awad113. 10.1093/brain/awad113
(2023). Progressive MRI brain volume changes in ovine models of CLN5 and CLN6 neuronal ceroid lipofuscinosis. Brain Communications, 5(1). 10.1093/braincomms/fcac339
(2023). Neuron arbor geometry is sensitive to the limited-range fractal properties of their dendrites. Frontiers in Network Physiology, 3, 1072815. 10.3389/fnetp.2023.1072815
(2023). MRI and CT imaging biomarkers of cerebral amyloid angiopathy in lobar intracerebral hemorrhage. International journal of stroke, 18(1), 85-94. 10.1177/17474930211062478
(2023). The relationship between lingual strength and functional swallowing outcomes in Parkinson’s disease. Dysphagia, 38, 1169–1183. 10.1007/s00455-022-10543-0
(2023). Impact of Cerebral Microbleeds in Stroke Patients with Atrial Fibrillation. Annals of neurology. 10.1002/ana.26642
(2023). Dimensions of apathy in Parkinson’s disease. Brain and Behaviour, e2862, 1-8. 10.1002/brb3.2862
(2023). Rehabilitating Cough Dysfunction in Parkinson’s Disease: A Randomized Controlled Trial. Movement Disorders, 38(2), 201-211. 10.1002/mds.29268
(2023). Wang, P., Lan, G., Xu, B., Yu, Z., Tian, C., Lei, X., ... & Zhang, J. (2023). α-Synuclein-carrying astrocytic extracellular vesicles in Parkinson pathogenesis and diagnosis. Translational Neurodegeneration, 12(1), 40. 10.1186/s40035-023-00372-y
(2023). Functional topography of the neocortex predicts covariation in complex cognitive and basic motor abilities. Cerebral Cortex. 10.1093/cercor/bhad109
(2023). Increased cerebral activity during microsleeps reflects an unconscious drive to re-establish consciousness. International Journal of Psychophysiology, 189, 57-65. 10.1016/j.ijpsycho.2023.05.349
2022
(2022). Detection of concealed knowledge via the ERP‐based technique Brain Fingerprinting: Real‐life and real‐crime incidents. Psychophysiology, 59, e14110. 10.1111/psyp.14110
(2022). Impaired brain insulin signalling in Parkinson's disease. Neuropathology and applied neurobiology, 48(1), e12760.. 10.1111/nan.12760
(2022). Level I PD‐MCI using global cognitive tests and the risk for Parkinson’s disease dementia. Movement Disorders Clinical Practice, 9(4), 479-483. 10.1002/mdc3.13451
(2022). Oculomotor and visuo-vestibular function in Parkinson’s disease. In N. Gálvez-Jiménez, A. D. Korczyn, & R. Lugo-Sanchez (Eds). Non-Motor Parkinson’s Disease, Cambridge University Press.
(2022). NMOSD and MS prevalence in the Indigenous populations of Australia and New Zealand. Journal of Neurology, 269(2), 836-845. 10.1007/s00415-021-10665-9
(2022). The effect of national disease-modifying therapy subsidy policy on long-term disability outcomes in people with multiple sclerosis. Multiple Sclerosis Journal, 28(5), 831-841. 10.1177/13524585211035948
(2022). Visual analysis of swallowing efficiency and safety (VASES): A standardized approach to rating pharyngeal residue, penetration, and aspiration during FEES. Dysphagia, 37, 417–435. 10.1007/s00455-021-10293-5
(2022). The instrumental role of operant paradigms in translational psychiatric research: Insights from a maternal immune activation model of schizophrenia risk. Journal of the Experimental Analysis of Behavior, 117, 560-575. 10.1002/jeab.753
(2022). Tracheostomy invasive ventilation for stridor in multiple system atrophy. Parkinsonism & Related Disorders, 97, 105-106. 10.1016/j.parkreldis.2022.04.016
(2022). Anterior thalamic nuclei: A critical substrate for non‐spatial paired‐associate memory in rats. European Journal of Neuroscience, 56(7), 5014-5032. 10.1111/ejn.15802
(2022). Eye movement disorders in movement disorders. Movement Disorders Clinical Practice, 9(3), 284-295. 10.1002/mdc3.13413
(2022). Age and Gender Differences in Cardiovascular Autonomic Failure in the Transgenic PLP-syn Mouse, a Model of Multiple System Atrophy. Frontiers in Neurology, 13, 874155. 10.3389/fneur.2022.874155
(2022). Non-contact hand movement analysis for optimal configuration of smart sensors to capture Parkinson’s disease hand tremor. Sensors, 22, 4613. 10.3390/s22124613
(2022). The Unified Multiple System Atrophy Rating Scale: Status, Critique, and Recommendations. Movement Disorders, 37(12), 2336-2341. 10.1002/mds.29215
(2022). Reward and actions and the game of life. Journal of Neurology, Neurosurgery & Psychiatry, 93, 458. 10.1136/jnnp-2021-328302
(2022). Reply to: “An Exponential Rather Than Multistep Model of Parkinson’s Disease Pathogenesis”. Movement Disorders, 37(5), 1107. 10.1002/mds.28989
(2022). Reproducibility and repeatability of magnetic resonance imaging in dementia. Physica Medica, 101, 8-17. doi.org/10.1016/j.ejmp.2022.06.012
(2022). Disordered decision making: A cognitive framework for apathy and impulsivity in Huntington’s disease. Movement Disorders, 37(6), 1149-1163. 10.1002/mds.29013
(2022). Adjunctive transdermal cannabidiol for adults with focal epilepsy:a randomized clinical trial. JAMA Network Open, 2022, 20189. 10.1001/jamanetworkopen.2022.20189
(2022). Patient‐Reported Symptoms in the Global Multiple System Atrophy Registry. Movement Disorders Clinical Practice, 9(7), 967-971. 10.1002/mdc3.13544
(2022). Ambulatory blood pressure and drug treatment for orthostatic hypotension as predictors of mortality in patients with multiple system atrophy. European Journal of Neurology, 29(4), 1025-1034. 10.1111/ene.15232
(2022). Building Experiments in PsychoPy (2nd ed). , Sage, London.
(2022). Characterizing quality of life in caregivers of people with Parkinson’s disease and dysphagia. Dysphagia, 523–532. 10.1007/s00455-021-10299-z
(2022). Effect of antenatal magnesium sulphate on MRI biomarkers of white matter development at term equivalent age: the MagNUM Study. eBioMedicine, 103923 . 10.1016/j.ebiom.2022.103923
(2022). Multimodal neuroimaging with simultaneous fMRI and EEG. In N. V. Thakor (Ed.),. Handbook of Neuroengineering, Springer, Singapore. 10.1007/978-981-15-2848-4_81-1
(2022). Describing complex disease progression using joint latent class models for multivariate longitudinal markers and clinical endpoints. arXiv, 05124. 10.48550/arXiv.2202.05124
(2022). Investigating fractal analysis as a diagnostic tool that probes the connectivity of hippocampal neurons. Frontiers in Physiology, 13, 932598. 10.3389/fphys.2022.932598
(2022). Standardized mortality ratios in multiple sclerosis: Systematic review with meta‐analysis. Acta Neurologica Scandinavica, Vol 145(3), 360-370. 10.1111/ane.13559
(2022). Acquired stuttering. In Eggers & Leahy (Eds). Clinical Cases in Dysfluency.
(2022). Dementia Prevention Research Clinic: A longitudinal study investigating factors influencing the development of Alzheimer’s disease in Aotearoa. Journal of the Royal Society of New Zealand. 10.1080/03036758.2022.2098780
(2022). Learning interpretable regularized ordinal models from 3D mesh data for neurodegenerative disease staging. In Abdulkadir, Bathula, Dvornek, Habes, Kia, Kumar, & Wolfers (Eds.),. Machine Learning in Clinical Neuroimaging, 13596, 115–124. 10.1007/978-3-031-17899-3_12
2021
(2021). Detection of microsleep states from the EEG: A comparison of feature reduction methods. Medical & Biological Engineering & Computing, 59, 1643–1657. 10.1007/s11517-021-02386-y
(2021). Anterior thalamic nuclei neurons sustain memory. Current Research in Neurobiology, 2, 100022. 10.1016/j.crneur.2021.100022
(2021). Automated segmentation of substantia nigra and red nucleus using quantitative susceptibility mapping images: application to Parkinson’s disease. Computers & Electrical Engineering, 91, 107091. 10.1016/j.compeleceng.2021.107091
(2021). Functional neurological disorders presenting as emergencies to secondary care. European Journal of Neurology, 28, 1441-1445. 10.1111/ene.14728
(2021). Higher perceived stress and exacerbated motor symptoms in Parkinson's disease during the COVID-19 lockdown in New Zealand. The New Zealand Medical Journal, 134, 44-51.
(2021). Classification of alcoholic EEG signals using wavelet scattering transform-based features. Computers in Biology and Medicine, 139 (104969), 1-10. 10.1016/j.compbiomed.2021.104969
(2021). Association of subcortical gray-matter volumes with life-course-persistent antisocial behavior in a population-representative longitudinal birth cohort. Development and Psychopathology, 1–11. 10.1017/S0954579421000377
(2021). Mitogen-activated protein kinase (MAPK) signalling corresponds with distinct behavioural profiles in a rat model of maternal immune activation. Behavioural Brain Research, 396. 10.1016/j.bbr.2020.112876
(2021). Small vessel disease and ischemic stroke risk during anticoagulation for atrial fibrillation after cerebral ischemia. Stroke, 52, 91–99. 10.1161/STROKEAHA.120.029474
(2021). Disparities in the pace of biological aging among midlife adults of the same chronological age have implications for future frailty risk and policy. Nature Aging, 1, 295-308. 10.1038/s43587-021-00044-4
(2021). Brain-age in midlife is associated with accelerated biological aging and cognitive decline in a longitudinal birth cohort. Molecular Psychiatry, 26, 3829–3838. 10.1038/s41380-019-0626-7
(2021). A Hilbert-based method for processing respiratory timeseries. NeuroImage, 230, 117787. 10.1016/j.neuroimage.2021.117787
(2021). Neuropsychiatric symptoms are associated with dementia in Parkinson’s disease but not predictive of it. Movement Disorders Clinical Practice, 8, 390-399. 10.1002/mdc3.13151
(2021). Cholinergic and dopaminergic effects on prediction error and uncertainty responses during sensory associative learning. NeuroImage, 226, 117590. 10.1016/j.neuroimage.2020.117590
(2021). International multicenter analysis of brain structure across clinical stages of Parkinson’s disease. Movement Disorders , 36, 2583-2594. 10.1002/mds.28706
(2021). A multi-step model of Parkinson’s disease pathogenesis. Movement Disorders, 36, 2530-2538. 10.1002/mds.28719
(2021). Progression in Parkinson’s disease: a potpourri of plots and probabilities. Brain, 3, 708–711. 10.1093/brain/awab060
(2021). Recruitment and retention of participants in longitudinal studies after a natural disaster. Longitudinal and Life Course Studies. 10.1332/175795921X16168462584238
(2021). Spatial variation of perfusion MRI reflects cognitive decline in mild cognitive impairment and early dementia. Scientific Reports, 11(1), 23325. 10.1038/s41598-021-02313-z
(2021). Intravitreal gene therapy protects against retinal dysfunction and degeneration in sheep with CLN5 Batten disease. Experimental Eye Research, 207, 108600. 10.1016/j.exer.2021.108600
(2021). Meta-analysis of genome-wide DNA methylation identifies shared associations across neurodegenerative disorders. Genome Biology, 22, 90. 10.1186/s13059-021-02275-5
(2021). Effect of volitional effort on submental surface electromyographic activity during healthy swallowing. Dysphagia. 10.1007/s00455-021-10278-4
(2021). Classification of stroke patients with dysphagia into subgroups based on patterns of submental muscle strength and skill impairment. Archives of Physical Medicine and Rehabilitation, 102, 895-904. 10.1016/j.apmr.2020.11.014
(2021). Dual tasking influences cough reflex outcomes in adults with Parkinson’s disease: a controlled study. Dysphagia, 36, 959-973. 10.1007/s00455-020-10223-x
(2021). RoWDI: Rolling window detection of sleep intrusions in the awake brain using fMRI. Journal of Neural Engineering, 18 (056063), 1-8. 10.1088/1741-2552/ac2bb9
(2021). Childhood self-control forecasts the pace of midlife aging and preparedness for old age. Proceedings of the National Academy of Sciences, 118, e2010211118. 10.1073/pnas.2010211118
(2021). Pervasively thinner neocortex as a transdiagnostic feature of general psychopathology. American Journal of Psychiatry, 178. 10.1176/appi.ajp.2020.19090934
(2021). Apathy in small vessel cerebrovascular disease is associated with deficits in effort-based decision making. Brain, 144, 1247–1262. 10.1093/brain/awab013
(2021). Recanalisation therapies for acute ischaemic stroke in patients on direct oral anticoagulants. Journal of Neurology, Neurosurgery and Psychiatry, 92, 534–541. 10.1136/jnnp-2020-325456
(2021). EEG-Based Machine Learning: Theory and Applications. , In N. V. Thakor (Ed.) Handbook of Neuroengineering. Springer, Singapore.. 10.1007/978-981-15-2848-4_70-1
(2021). How neurons exploit fractal geometry to optimize their network connectivity. Scientific Reports, 11(1), 1-13. 10.1038/s41598-021-81421-2
(2021). Characterising spoken responses to an intelligent virtual agent by persons with mild cognitive impairment. Clinical Linguistics & Phonetics, 35(3), 237–252. 10.1080/02699206.2020.1777586
(2021). Reservoir computing approaches to microsleep detection. Journal of Neural Engineering, 18(046021), 1-11. 10.1088/1741-2552/abcb7f
(2021). Language changes in Alzheimer’s disease: A systematic review of verb processing. Brain and Language, 223. 10.1016/j.bandl.2021.105041
(2021). An eye on movement disorders. Movement Disorders Clinical Practice, 8, 1168–1180. 10.1002/mdc3.13317
(2021). Corticobasal syndrome: a practical guide. Practical Neurology, 21, 276–285. 10.1136/practneurol-2020-002835
(2021). Increased large vessel occlusive strokes following the Christchurch 2019 March 15 terror attack. Neurology, 96, 171-174. 10.1212/WNL.0000000000011341
(2021). Routine use of tenecteplase for thrombolysis in acute ischemic stroke. Stroke, 52(3), 1087–1090. 10.1161/STROKEAHA.120.030859
(2021). Midlife cardiovascular fitness is reflected in the brain’s white matter. Frontiers in Aging Neuroscience, 13, 652575. 10.3389/fnagi.2021.652575
2020
(2020). Exploring eye movements of Parkinson’s disease patients performing the Judgement of Line Orientation test. Journal of Clinical Neuroscience, 76, 183-188. 10.1016/j.jocn.2020.04.031
(2020). Variations in the patterns of prevalence and therapy in Australasian Parkinson’s disease patients of different ethnicities. BMJ Neurology Open, 2(1), e000033.. 10.1136/bmjno-2019-000033
(2020). Compressed sensing in metal hip imaging: our experience. MAGNETOM Flash, 77, 4-8.
(2020). Cognitive impairment before atrial fibrillation–related ischemic events: neuroimaging and prognostic associations. Journal of the American Heart Association, 9(1), e014537.. 10.1161/JAHA.119.014537
(2020). A Māori specific RFC1 pathogenic repeat configuration in CANVAS, likely due to a founder allele. Brain, awaa203. . 10.1093/brain/awaa203
(2020). Endovascular thrombectomy: 31 hours from symptom onset. Practical Neurology. 10.1136/practneurol-2019-002380
(2020). Endovascular therapy for ischemic stroke can be successfully performed by peripheral vascular interventionalists. Journal of Vascular and Interventional Radiology. 10.1016/j.jvir.2020.08.031
(2020). Dabigatran reversal before intravenous tenecteplase in acute ischemic stroke. Stroke, 51, 1616-1619. 10.1161/STROKEAHA.119.028327
(2020). Challenges and future directions for representations of functional brain organization. Nature Neuroscience, 23, 1484-1495. 10.1038/s41593-020-00726-z
(2020). Resting-state networks and neurometabolites in children with ADHD after 10 weeks of treatment with micronutrients: results of a randomised placebo-controlled trial. Nutritional Neuroscience , 23, 876-886. 10.1080/1028415X.2019.1574329
(2020). The timing mega-study: comparing a range of experiment generators, both lab-based and online. PeerJ, 8, e9414 . 10.7717/peerj.9414
(2020). Associations between life-course-persistent antisocial behaviour and brain structure in a population-representative longitudinal birth cohort. The Lancet Psychiatry, S22150366203000. 10.1016/S2215-0366(20)30002-X
(2020). The impact of COVID‐19 on access to Parkinson’s disease medication. Movement Disorders. 10.1002/mds.28293
(2020). Perinatal and childhood predictors of general cognitive outcome at 28 years in a very‐low‐birthweight national cohort. Developmental Medicine & Child Neurology, 62(12), 1423-1428. 10.1111/dmcn.14649
(2020). Effects of cerebellar transcranial direct current stimulation (tDCS) on motor skill learning in swallowing. Disability and Rehabilitation. 10.1080/09638288.2020.1827303
(2020). Changes of plasma cGP/IGF‐1 molar ratio with age is associated with cognitive status of Parkinson disease. Alzheimer's & Dementia: Diagnosis, Assessment & Disease Monitoring, 12, e12025. 10.1002/dad2.12025
(2020). The developing Human Connectome Project (dHCP) automated resting-state functional processing framework for newborn infants. NeuroImage, 223, 117303. 10.1016/j.neuroimage.2020.117303
(2020). Nanopore sequencing of the glucocerebrosidase (GBA) gene in a New Zealand Parkinson's disease cohort. Parkinsonism & Related Disorders, 70, 36-41. 10.1016/j.parkreldis.2019.11.022
(2020). The genetic architecture of the human cerebral cortex. Science, 367(6484), eaay6690. 10.1126/science.aay6690
(2020). Modelling subject variability in the spatial and temporal characteristics of functional modes. NeuroImage, 222, 117226. 10.1016/j.neuroimage.2020.117226
(2020). Estimates of functional cerebral hemispheric differences in monolingual and bilingual people who stutter: dichotic listening paradigm. Clinical Linguistics & Phonetics, 34, 774-789. 10.1080/02699206.2019.1697372
(2020). Dopamine modulates dynamic decision-making during foraging. Journal of Neuroscience, 40, 5273–5282. 10.1523/JNEUROSCI.2586-19.2020
(2020). MRI-visible perivascular spaces as an imaging biomarker in Fabry disease. Journal of Neurology, 1-7. 10.1007/s00415-020-10209-7
(2020). Childbirth and delayed Parkinson’s onset: a reproducible non-biological artefact of societal change. Movement Disorders, 35, 1268-1271. 10.1002/mds.28135
(2020). Test-retest reliability and sample size estimates after MRI scanner relocation. Neuroimage 211, 116608. 10.1016/j.neuroimage.2020.116608
(2020). Pervasively thinner neocortex as a transdiagnostic feature of general psychopathology. American Journal of Psychiatry. 10.1176/appi.ajp.2020.19090934
(2020). Common variants coregulate expression of GBA and modifier genes to delay Parkinson’s disease onset. Movement Disorders, 28144. 10.1002/mds.28144
(2020). Left atrial appendage thrombus detected during hyperacute stroke imaging is associated with atrial fibrillation. Stroke, 51, 3760-3764. 10.1161/STROKEAHA.120.030258
(2020). Wrestling with uncertainty after mild traumatic brain injury: a mixed methods study. Disability and Rehabilitation, 42, 1942-1953. 10.1080/09638288.2018.1542461
(2020). Positive association of ascorbate and inverse association of urate with cognitive function in people with Parkinson’s disease. Antioxidants, 9, 906. 10.3390/antiox9100906
(2020). Brain activation during non-habitual speech production: Revisiting the effects of simulated disfluencies in fluent speakers. PLOS One, 15(1), e0228452. 10.1371/journal.pone.0228452
(2020). Analysis of DNA methylation associates the cystine-glutamate antiporter SLC7A11 with risk of Parkinson’s disease. Nature Communications , 11 (1238), 1-10. 10.1038/s41467-020-15065-7
(2020). Functional connectivity network disruption underlies domain-specific attention impairments in attention for children born very preterm. Cerebral Cortex. 10.1093/cercor/bhaa303
(2020). Abnormal saccadic oscillations associated with SARS‐CoV‐2 encephalopathy and ataxia. Movement Disorders Clinical Practice, 7, 980-982. 10.1002/mdc3.13101
(2020). White matter hyperintensities are common in midlife and already associated with cognitive decline. Brain Communications, 1(1), fcz041. 10.1093/braincomms/fcz041
2019
(2019). Effect of small-vessel disease on cognitive trajectory after atrial fibrillation-related ischaemic stroke or TIA. Journal of Neurology. 10.1007/s00415-019-09256-6
(2019). Cerebral embolisation in bacterial endocarditis. New Zealand Medical Journal, 132(1506), 90-92.
(2019). Volitional suppression of parkinsonian resting tremor. Movement Disorders Clinical Practice, 6, 470-478. 10.1002/mdc3.12801
(2019). Parkinson’s disease age at onset genome‐wide association study: Defining heritability, genetic loci, and α‐synuclein mechanisms. Movement Disorders, 34(6), 866-875. 10.1002/mds.27659
(2019). Examining the impact of imputation errors on fine-mapping using DNA methylation QTL as a model trait. Genetics. 10.1534/genetics.118.301861
(2019). Assessment of plasma creatine kinase as biomarker for levodopa-induced dyskinesia in Parkinson’s disease. Journal of Neural Transmission, 126, 789-793. 10.1007/s00702-019-02015-x
(2019). Traumatic imagery following glucocorticoid administration in earthquake-related post-traumatic stress disorder: a preliminary functional magnetic resonance imaging study. Australian & New Zealand Journal of Psychiatry, 53, 1167–1178. 10.1177/0004867419851860
(2019). The development of brain magnetic resonance approaches in large animal models for preclinical research. Animal Frontiers, 9, 44–51. 10.1093/af/vfz024
(2019). General functional connectivity: Shared features of resting-state and task fMRI drive reliable and heritable individual differences in functional brain networks. NeuroImage, 189, 516–532. 0.1016/j.neuroimage.2019.01.068
(2019). How to apply the Movement Disorder Society criteria for diagnosis of progressive supranuclear palsy. Movement Disorders. 10.1002/mds.27666
(2019). Pharyngeal swallowing during wake and sleep. Dysphagia, 34, 916-921. 10.1007/s00455-019-09989-6
(2019). Risk of Parkinson’s disease dementia related to level I MDS PD-MCI. Movement Disorders. 10.1002/mds.27617
(2019). A neurophysiological and behavioural assessment of interventions targeting attention bias and sense of control in binge drinking. Frontiers in Human Neuroscience, 12:538, 1-9. 10.3389/fnhum.2018.00538
(2019). Brain mechanisms underlying apathy. Journal of Neurology, Neurosurgery and Psychiatry, 90, 302-312. 10.1136/jnnp-2018-318265
(2019). Beta amyloid deposition is not associated with cognitive impairment in Parkinson’s disease. Frontiers in Neurology, 10, 391. 10.3389/fneur.2019.00391
(2019). Identification of novel risk loci, causal insights, and heritable risk for Parkinson's disease: a meta-analysis of genome-wide association studies. The Lancet Neurology, 18(12), 1091-1102. 10.1016/S1474-4422(19)30320-5
(2019). Altered grey matter volume, perfusion and white matter integrity in very low birthweight adults. NeuroImage: Clinical, 22, 101780. 10.1016/j.nicl.2019.101780
(2019). PsychoPy2: experiments in behavior made easy. Behavior Research Methods, 51, 195–203. 10.3758/s13428-018-01193-y
(2019). Moving beyond neurons: the role of cell type-specific gene regulation in Parkinson’s disease heritability. npj Parkinson's Disease, 5, 1-14. 10.1038/s41531-019-0076-6
(2019). Replicability of structural brain alterations associated with general psychopathology: evidence from a population-representative birth cohort. Molecular Psychiatry, 1-8. 10.1038/s41380-019-0621-z
(2019). Automated lesion segmentation with BIANCA: impact of population-level features, classification algorithm and locally adaptive thresholding. Neuroimage, 202, 116056. 10.1016/j.neuroimage.2019.116056
(2019). Environmental enrichment increases prefrontal EEG power and synchrony with the hippocampus in rats with anterior thalamus lesions. Hippocampus, 29, 128-140. 10.1002/hipo.23022
(2019). Dopamine transporter imaging for the diagnosis of multiple system atrophy cerebellar type. Parkinsonism & Related Disorders. 10.1016/j.parkreldis.2019.02.006
(2019). Ocular drift reflects volitional action preparation. European Journal of Neuroscience, 50, 1892-1910. 10.1111/ejn.14365
(2019). Cerebral microbleeds and stroke risk after ischaemic stroke or transient ischaemic attack: a pooled analysis of individual patient data from cohort studies. The Lancet Neurology, 18(7), 653-665. 10.1016/S1474-4422(19)30197-8
(2019). Potential missed opportunities to prevent ischaemic stroke: prospective multicentre cohort study of atrial fibrillation-associated ischaemic stroke and TIA. BMJ Open , 9(7), e028387. 10.1136/bmjopen-2018-028387
(2019). Distribution of cerebral microbleeds in the East and West: Individual participant meta-analysis. Neurology, 92, e1086–97. 10.1212/WNL.0000000000007039
(2019). Improved precision of epigenetic clock estimates across tissues and its implication for biological ageing. Genome Medicine, 11. 10.1186/s13073-019-0667-1
2018
(2018). MRI artefact in the rectum caused by ingested orthodontic brackets. Radiography, 24, e48-e50. 10.1016/j.radi.2017.10.002
(2018). Practical implications of motion correction with motion insensitive radial k-space acquisitions in MRI. British Journal of Radiology, 91:20170593, 1-5. 10.1259/bjr.20170593
(2018). Dopamine modulates option generation for behavior. Current Biology, 28, 1561-1569. 10.1016/j.cub.2018.03.069
(2018). Metacognition of visuomotor decisions in conversion disorder. Neuropsychologia, 114, 251-265. 10.1016/j.neuropsychologia.2018.04.018
(2018). Optogenetic stimulation: Understanding memory and treating deficits. Hippocampus, 28, 457-470. 10.1002/hipo.22960
(2018). Stress-evoking emotional stimuli exaggerate deficits in motor function in Parkinson’s disease. Neuropsychologia, 112, 66-76. 10.1016/j.neuropsychologia.2018.03.006
(2018). The effect of paired muscle stimulation on preparation for movement. Journal of Motor Behavior. 10.1080/00222895.2018.1473329
(2018). Predicting microsleep states using EEG inter-channel relationships. IEEE Transactions on Neural Systems and Rehabilitation Engineering, 26, 2260 - 2269. 10.1109/TNSRE.2018.2878587
(2018). Functional connectivity alterations reveal complex mechanisms based on clinical and radiological status in mild relapsing remitting multiple sclerosis. Frontiers in Neurology, 9, 690. 10.3389/fneur.2018.00690
(2018). Supplementation of blackcurrant anthocyanins increased cyclic glycine-proline in the cerebrospinal fluid of Parkinson patients: potential treatment to improve insulin-like growth factor-1 function. Nutrients, 10, 714. 10.3390/nu10060714
(2018). Brain activation during processing of genuine facial emotion in depression: Preliminary findings. Journal of Affective Disorders, 225, 91-96. 10.1016/j.jad.2017.07.049
(2018). Comparison of unidirectional and circumferential manometric measures within the pharyngoesophageal segment: an exploratory study. European Archives of Oto-Rhino-Laryngology, 275, 2303-2310. 10.1007/s00405-018-5019-z
(2018). Detecting mild cognitive deficits in Parkinson's disease: comparison of neuropsychological tests. Movement Disorders. 10.1002/mds.110
(2018). Dysfunctional effort-based decision-making underlies apathy in genetic cerebral small vessel disease. Brain, 141, 3193–3210. 10.1093/brain/awy257
(2018). Distinct effects of apathy and dopamine on effort-based decision-making in Parkinson’s disease. Brain, 141, 1455-1469. 10.1093/brain/awy110
(2018). Longitudinal in vivo monitoring of the CNS demonstrates the efficacy of gene therapy in a sheep model of CLN5 Batten disease. Molecular Therapy, 26, 2366-2378. 10.1016/j.ymthe.2018.07.015
(2018). The Symbol-Digit Modalities Test in mild cognitive impairment: evidence from Parkinson's disease patients. European Neurology, 79, 206-210. 10.1159/000485669
(2018). Anterior thalamic nuclei lesions have a greater impact than mammillothalamic tract lesions on the extended hippocampal system. Hippocampus, 28, 121-135. 10.1002/hipo.22815
(2018). Parkinson’s disease across ethnicities: a nation-wide study in New Zealand. Movement Disorders, 33, 1440-1448. 10.1002/mds.27389
(2018). Temporal evolution of neural activity and connectivity during microsleeps when rested and following sleep restriction. NeuroImage, 174, 2018, 03, 031. 10.1016/j.neuroimage.2018.03.031
(2018). Environmental enrichment elicits a transient rise of bioactive C-type natriuretic peptide in young but not aged rats. Frontiers in Behavioral Neuroscience, 12, 142. 10.3389/fnbeh.2018.00142
(2018). Computed tomography provides enhanced techniques for longitudinal monitoring of progressive intracranial volume loss associated with regional neurodegeneration in ovine neuronal ceroid lipofuscinoses. Brain and Behavior, 8, e01096. 10.1002/brb3.1096
(2018). Untangling chronic pain and post-concussion symptoms: the significance of depression. Brain Injury, 32, 583-592. 10.1080/02699052.2018.1432894
(2018). Neuroimaging and clinical outcomes of oral anticoagulant–associated intracerebral hemorrhage. Annals of Neurology, 84, 694-704. 10.1002/ana.25342
(2018). Altered functional network connectivity relates to motor development in children born very preterm. Neuroimage, 183, 574-583. 10.1016/j.neuroimage.2018.08.051
(2018). Clinical characteristics of cognitive impairment in patients with Parkinson's disease and its related pattern in 18F‐FDG PET imaging. Human Brain Mapping. 10.1002/hbm.24311
(2018). Helsinki stroke model is transferrable with “real-world” resources and reduced stroke thrombolysis delay to 34 min in Christchurch. Frontiers in Neurology, 9, 290. 10.3389/fneur.2018.00290
2017
(2017). Qualitative analysis of Parkinson’s disease information on social media: the case of YouTube™. EPMA Journal, 8, 273-277.
(2017). Construction of joint confidence regions for the optimal true class fractions of Receiver Operating Characteristic (ROC) surfaces and manifolds. Statistical Methods in Medical Research, 26, 1429-1442. 10.1177/0962280215581694
(2017). An emotional call to action: integrating affective neuroscience in models of motor control. Emotion Review, 9(4), 299-309. 10.1177/1754073916670020
(2017). How emotion context modulates unconscious goal activation during motor force exertion. Neuroimage, 146, 904-917. 10.1016/j.neuroimage.2016.11.002
(2017). Mild cognitive impairment as a risk factor for Parkinson’s disease dementia. Movement Disorders, 32, 1056-1065. 10.1002/mds.27002
(2017). Caregiver burden is increased in Parkinson’s disease with mild cognitive impairment (PD-MCI). Translational Neurodegeneration, 6(17). 10.1186/s40035-017-0085-5
(2017). Effectiveness of constant, variable, random, and blocked practice in speech-motor learning. Journal of Motor Learning and Development, 5, 103-125. 10.1123/jmld.2015-0044
(2017). A software framework for real-time multi-modal detection of microsleeps. Australasian Physical & Engineering Sciences in Medicine, 40, 739-749. 10.1007/s13246-017-0559-x
(2017). Estimates of functional cerebral hemispheric differences in monolingual and bilingual people who stutter: Dual-task paradigm. Clinical Linguistics & Phonetics, 31, 409-423. 10.1080/02699206.2017.1305448
(2017). Estimates of functional cerebral hemispheric differences in monolingual and bilingual people who stutter: Visual hemifield paradigm. Clinical Linguistics & Phonetics, 31, 251-265. 10.1080/02699206.2016.1240236
(2017). Attention and regional gray matter development in very preterm children at age 12 years. Journal of the International Neuropsychological Society, 23, 539-550. 10.1017/S1355617717000388
(2017). The (palliative) care of Huntington’s disease. Progress in Palliative Care, 25, 165-170. 10.1080/09699260.2017.1337608
(2017). Effect of dysarthria type, speaking condition, and listener age on speech intelligibility. American Journal of Speech-language Pathology, 26(1), 113-123. 10.1044/2016_AJSLP-15-0182
(2017). Measuring voluntary and reflexive cough strength in healthy individuals. Respiratory Medicine, 132, 95-101. 10.1016/j.rmed.2017.09.013
(2017). Parkinson's in the oldest old: Impact on estimates of future disease burden. Parkinsonism and Related Disorders, 42, 78-84. 10.1016/j.parkreldis.2017.06.018
(2017). Multiple sclerosis impact on employment and income in New Zealand. Acta Neurologica Scandinavica, 136, 223-232. 10.1111/ane.12714
(2017). Some observations of anxiety-related behavior in young adult rats following late adolescent exposure to methamphetamine with and without environmental enrichment. Current Psychopharmacology, 6, 172-178. 10.2174/2211556006666171019142026
(2017). Central and systemic C-type natriuretic peptide are both reduced in Parkinson’s disease. Parkinsonism & Related Disorders, 43, 15-19. 10.1016/j.parkreldis.2017.06.019
2016
(2016). Repeated lumbar punctures for non-clinical indications: how do patients feel? European Neurology, 76(3-4), 123-124. 10.1159/000449056
(2016). Plasma exosome concentration may correlate with cognitive impairment in Parkinson’s disease. Alzheimer’s & Dementia: Diagnosis, Assessment & Disease Monitoring, 4, 107-108. 10.1016/j.dadm.2016.08.002
(2016). Disability profile of multiple sclerosis in New Zealand. Journal of Clinical Neuroscience, 28, 97-101. 10.1016/j.jocn.2015.09.020
(2016). An investigation of the relationship between latitude and multiple sclerosis severity in New Zealand. Multiple Sclerosis, 22, 705-707. 10.1177/1352458515605909
(2016). Metabolite ratios in the posterior cingulate cortex do not track cognitive decline in Parkinson's disease in a clinical setting. Parkinsonism & Related Disorders, 22, 54-61. 10.1016/j.parkreldis.2015.11.008
(2016). Aversive stimuli exacerbate defensive motor behaviour in motor conversion disorder. Neuropsychologia, 93, 229-241. 10.1016/j.neuropsychologia.2016.11.005
(2016). Negative emotions facilitate isometric force through activation of prefrontal cortex and periaqueductal gray. Neuroimage, 124, 627-640. 10.1016/j.neuroimage.2015.09.029
(2016). Attention lapses and microsleeps during tracking, psychomotor vigilance, and dual tasks. Consciousness and Cognition, 45, 174-183. 10.1016/j.concog.2016.09.002
(2016). α-synuclein genetic variability: A biomarker for dementia in Parkinson's disease. Annals of Neurology, 79, 991-999. 10.1002/ana.24664
(2016). Source-space ICA for MEG source imaging. Journal of Neural Engineering, 13, 016005. 10.1088/1741-2560/13/1/016005
(2016). Microsleeps are associated with stage-2 sleep spindles from hippocampal-temporal network. International Journal of Neural Systems, 26(4), 1650015. 10.1142/S0129065716500155
(2016). Are individuals with Parkinson’s disease capable of speech-motor learning? - A preliminary evaluation. Parkinsonism & Related Disorders, 28, 141-5.. 10.1016/j.parkreldis.2016.05.001
(2016). Characterization and correction of pressure drift in the ManoScan high‐resolution manometry system: In vitro and in vivo. Neurogastroenterology & Motility, 28, 732-742. 10.1111/nmo.12770
(2016). Eye movements in neurodegenerative diseases. Current Opinion in Neurology, 29, 61-68. 10.1097/WCO.0000000000000274
(2016). Acute tryptophan depletion and Lewy body dementias. International Psychogeriatrics, 1-5. 10.1017/S1041610216000284
(2016). Comprehensive clinical assessment of home-based older persons within New Zealand: an epidemiological profile of a national cross-section. Australian and New Zealand Journal of Public Health. 10.1111/1753-6405.12525
(2016). Post-concussion syndrome after a mild traumatic brain injury: a minefield for clinical practice. Journal of Behavioral and Brain Science, 06(06), 227-232. 10.4236/jbbs.2016.66023
(2016). Time-varying functional connectivity of the cortical neuroelectric activity associated with behavioural microsleeps. NeuroImage, 124, 421–432. 10.1016/j.neuroimage.2015.08.059
(2016). Cognitive mechanisms in chronic tinnitus: psychological markers of a failure to switch attention. Frontiers in Psychology, 7. 10.3389/fpsyg.2016.01262
(2016). Psychological mediators of chronic tinnitus: the critical role of depression. Journal of Affective Disorders, 204, 234-40. 10.1016/j.jad.2016.06.055
(2016). Different PD-MCI criteria and risk of dementia in Parkinson’s disease: Four year longitudinal study. npj Parkinson's Disease, 2, 15027. 10.1038/npjparkd.2015.27
2015
(2015). Anxiety and depression in Parkinson’s disease patients in Saudi Arabia Global neurology. Journal of the Neurological Sciences, 358, 457-458. 10.1016/j.jns.2015.07.051
(2015). Parkinson’s disease in the Gulf Countries: An updated review. European Neurology, 74(3-4), 222-225. 10.1159/000442283
(2015). Mental health and Parkinson's disease: from the cradle to the grave. British Journal of General Practice, 65(634), 258-9. 10.3399/bjgp15X684985
(2015). How Do I Examine for a Supranuclear Gaze Palsy? Movement Disorders Clinical Practice, 2 (1), 106. 10.1002/mdc3.12116
(2015). Deficit in late-stage contingent negative variation provides evidence for disrupted movement preparation in patients with conversion paresis. Biological Psychology, 109, 73-85. 10.1016/j.biopsycho.2015.04.009
(2015). A new era in the treatment of multiple sclerosis. Medical Journal of Australia, 203(3), 139-141. 10.5694/mja14.01218
(2015). Anterior thalamic nuclei lesions and recovery of function: Relevance to cognitive thalamus. Neuroscience and Biobehavioral Reviews, 54, 145-160. 10.1016/j.neubiorev.2014.12.007
(2015). The New Zealand 1986 very low birth weight cohort as young adults: mapping the road ahead. BMC Pediatrics, 15, 90. 10.1186/s12887-015-0413-9
(2015). Deep grey matter MRI abnormalities and cognitive function in relapsing-remitting multiple sclerosis. Psychiatry Research: Neuroimaging. 10.1016/j.pscychresns.2015.10.00
(2015). A rare P2X7 variant Arg307Gln with absent pore formation function protects against neuroinflammation in multiple sclerosis. Human Molecular Genetics, 24(19), 5644-54. 10.1093/hmg/ddv278
(2015). Prediction of driving ability: Are we building valid models? Accident Analysis and Prevention, 77C, 29-34. 0.1016/j.aap.2015.01.013
(2015). Decreased regional cerebral perfusion in moderate-severe obstructive sleep apnoea during wakefulness. Sleep, 38, 699-706. 10.5665/sleep.4658
(2015). The capacity for volitional control of pharyngeal swallowing in healthy adults. Physiology & Behaviour, 152, 257-263. 10.1016/j.physbeh.2015.09.026
(2015). Impaired spatial working memory after anterior thalamic lesions: Recovery with cerebrolysin and enrichment. Brain Structure & Function. 10.1007/s00429-015-1015-x
(2015). Safety, tolerability and pharmacodynamics of a novel immunomodulator, MIS416, in patients with chronic progressive multiple sclerosis. Multiple Sclerosis - Journal Experimental, Translational and Clinical, 1, 205521731558338. 10.1177/ 2055217315583385
(2015). A randomised controlled feasibility trial of a specific cueing programme for falls management in patients with Parkinson disease and freezing of gait. Journal of Neurologic Physical Therapy, 39(3), 179-184. 10.1097/npt.0000000000000093
(2015). Tracking Parkinson's disease over one year with multimodal magnetic resonance imaging in a group of older patients with moderate disease. PLOS ONE, 10, e0143923. 10.1371/journal.pone.0143923
(2015). Genome sequencing identifies a novel mutation in ATP1A3 in a family with dystonia in females only. Journal of Neurology, 262(1), 187-93. 10.1007/s00415-014-7547-9
2014
(2014). Multiple sclerosis in New Zealand. Journal of Clinical Neuroscience, 21, 1288-1291. 10.1016/j.jocn.2013.09.009
(2014). The increasing prevalence of multiple sclerosis in New Zealand. Neuroepidemiology, 42, 154-16. 10.1007/s00702-013-1123-9
(2014). Skill training for swallowing rehabilitation in patients with Parkinsons disease. Archives of Physical Medicine and Rehabilitation, Online preprint. j.apmr.2014.03.001
(2014). A differential item functioning (DIF) analysis of the Communicative Participation Item Bank (CPIB): Comparing individuals with Parkinson's disease from the United States and New Zealand. Journal of Speech Language Hearing Research, 57, 90-95. 10.1044/1092-4388
(2014). Electrical bioimpedance measurement as a tool for dysphagia visualisation. Healthcare Technology Letters, 1-4. 10.1049/htl.2014.0067
(2014). Reduced grey matter perfusion without volume loss in early relapsing-remitting multiple sclerosis. Journal of Neurology Neurosurgery and Psychiatry, 85. 10.1136/jnnp-2013-305612
(2014). C-type natriuretic peptide in Parkinson's disease: reduced secretion and response to deprenyl. Journal of Neural Transmission, 121(4), 371-378. 10.1007/s00702-013-1123-9
(2014). Parkinson’s Disease Mild Cognitive Impairment: Application and Validation of the Criteria. Journal of Parkinson’s Disease, 4, 131-7. 10.3233/JPD-130304
(2014). Anterior thalamic lesions reduce spine density in both hippocampal CA1 and retrosplenial cortex, but enrichment rescues CA1 spines only. Hippocampus, 24(10), 1232-47. 10.1002/hipo.22309
(2014). Measurement and analysis of sensory motor performance: Tracking tasks. In: Bronzino JD, Peterson DR (Eds), Medical Devices and Human Engineering, 4th ed. Boca Raton, Florida: CRC Press, Chap 31, 1-38.
(2014). Source-Space ICA for EEG Source Separation, Localization, and Time-Course Reconstruction. NeuroImage, 101, 720-737. 10.1016/j.neuroimage.2014.07.052
(2014). Voxel-ICA for reconstruction of source signal time-series and orientation in EEG and MEG. Australasian Physical & Engineering Sciences in Medicine, 37, 457-64. 10.1007/s13246-014-0265-x
(2014). Comparison of beamformers for EEG source signal reconstruction. Biomedical Signal Processing and Control, 14, 175-188. 10.1016/j.bspc.2014.07.014
(2014). Comparing cerebral perfusion in Alzheimer's disease and Parkinson's disease dementia: an ASL-MRI study. Journal of Cerebral Blood Flow & Metabolism, 34, 964-970. 10.1038/jcbfm.2014.40
(2014). The effect of swallowing treatments on corticobulbar excitability: A review of transcranial magnetic stimulation induced motor evoked potentials. Journal of Neuroscience Methods, 233C, 89-98. 10.1016/j.jneumeth.2014.06.010
(2014). Cognitive-perceptual examination of remediation approaches to hypokinetic dysarthria. Journal of Speech, Language & Hearing Research, 57, 1268-1283. 10.1044/2014_JSLHR-S-12-0349
(2014). Multiple sclerosis in New Zealand Maori. Multiple Sclerosis, 20(14), 1892-1895. 10.1177/1352458514535130
(2014). Trends in antiparkinsonian medication use in New Zealand: 1995-2011. Parkinson’s Disease, 2014(379431), 1-9. 10.1155/2014/379431
(2014). Losing the struggle to stay awake: Divergent thalamic and cortical activity during microsleeps. Human Brain Mapping, 35, 257-269. 10.1002/hbm.22178
(2014). Riding into the future: a snapshot of elderly mobility scooter riders and how they use their scooters. The New Zealand Medical Journal, 127:1402, 43-49.
(2014). Comparison of cognitive and UHDRS measures in monitoring disease progression in Huntington's disease: a 12-month longitudinal study. Translational Neurodegeneration, 3.
(2014). Effects of thalamic lesions on repeated relearning of a spatial working memory task. Behavioural Brain Research, 261, 56-59. 10.1016/j.bbr.2013.12.002
(2014). Fixational saccades alter the gap effect. European Journal of Neuroscience, 39(12), 1098-2106. 10.1111/ejn.12566
(2014). Autonomic dysfunction is a major feature of cerebellar ataxia, neuropathy, vestibular areflexia ‘CANVAS’ syndrome. Brain, 137(10), 2649-2656. 10.1093/brain/awu196
2013
(2013). Could saccadic function be a useful marker of stroke recovery? Journal of Neurology Neurosurgery & Psychiatry, 84(3), 242. 10.1136/jnnp-2012-304481
(2013). Eye movements in patients with neurodegenerative disorders. Nature Reviews Neurology, 9, 74-85. 10.1038/nrneurol.2012.273
(2013). The role of linguistic and indexical information in improved recognition of dysarthric speech. Journal of the Acoustical Society of America, 133, 474-482. 10.1121/1.4770239
(2013). The reuniens and rhomboid nuclei: neuroanatomy, electrophysiological characteristics and behavioral implications. Progress in Neurobiology, 111, 34-52. 10.1016/j.pneurobio.2013.08.006
(2013). Dysphagia Following Stroke (2nd edition). San Diego: Plural Publishing.
(2013). A role for anterior thalamic nuclei in affective cognition: interaction with environmental conditions. Hippocampus, 23, 392-404. 10.1002/hipo.22098
(2013). Diagnosis of cognitive impairment and the assessment of driving safety in New Zealand: a survey of Canterbury GPs. New Zealand Medical Journal, 126, 1-11.
(2013). Predicting on-road assessment pass and fail outcome in older drivers with cognitive impairment using a battery of computerized sensory-motor and cognitive tests. Journal of the American Geriatrics Society, 61, 2192-2198.
(2013). Prospective study of healthy older drivers: No increase in crash involvement or traffic citations at 24 months following a failed on-road assessment. Transportation Research Part F: Traffic Psychology and Behaviour, 16, 73-80. 10.1016/j.trf.2012.08.012
(2013). Compensatory management and treatment in dysphagia. In R. Shaker, G. Postma, P, Belafsky and C, Easterling (Ed.), Principles of Deglutition: A Multidisciplinary Text for Swallowing and its Disorders, San Diego, 785-797. 10.1007/978-1-4614-3794-9_54
(2013). Effortful swallow. In R. Shaker, C. Easterling, P, C, Belafsky and G, N, Postma (Ed.) Manual of Diagnostic and Therapeutic Techniques for Disorders of Deglutition, San Diego, 281-198. 10.1007/978-1-4614-3779-6_15
(2013). Efficient and regular patterns of sleep are related to increased vulnerability to microsleeps following a single night of sleep restriction. Chronobiology International, 30, 1187 “119. 10.3109/07420528.2013.810222
(2013). Whose name is it anyway? Varying patterns of possessive usage in eponymous neurodegenerative diseases. PeerJ, 1(e67). 10.7717/peerj.67
(2013). "Ocular Tremor" in Parkinson’s Disease: A Technology-dependent Artifact of Universal Head Motion? Movement Disorders, 28, 1165-1166. 10.1002/mds.25602
(2013). Cross-Sectional Area of the Anterior Belly of the Digastric Muscle: Comparison of MRI and Ultrasound Measures. Dysphagia, 28, 375-380. 10.1007/s00455-012-9443-8
(2013). Vocabulary influences older and younger listeners' processing of dysarthric speech. Journal of the Acoustical Society of America, 134, 1358-1368. 10.1121/1.4812764
(2013). The evolution of diffusion tensor imaging in Parkinson’s disease research. Movement Disorders, 28, 1316. 10.1002/mds.25566
(2013). White matter microstructure deteriorates across cognitive stages in Parkinson disease. Neurology, 80, 1841-1849. 10.1212/WNL.0b013e3182929f62
(2013). Intra- and inter-rater reliability for judgement of cough following citric acid inhalation. International Journal of Speech and Language Pathology, 5(3), 209-215. 10.3109/17549507.2012.692812
(2013). Comparison of cough reflex test against instrumental assessment of aspiration. Physiology & Behavior, 118, 25-31. 10.1016/j.physbeh.2013.05.004
(2013). Cough reflex testing in dysphagia following stroke: a randomized controlled trial. Journal of Clinical Medical Research, 5, 222-233. 10.4021/jocmr1340w
(2013). Lesions of the anterior thalamic nuclei and intralaminar thalamic nuclei: place and visual discrimination learning in the water maze. Brain Structure and Function, 218, 657-667. 10.1007/s00429-012-0419-0
(2013). Generalization of Youden index for multiple-class classification problems applied to the assessment of externally validated cognition in Parkinson’s disease screening. Statistics in Medicine, 32(6), 995-1003. 10.1002/sim.5592
(2013). Distinct neural correlates of time-on-task and transient errors during a visuomotor tracking task after sleep restriction. NeuroImage, 77, 105-113.
(2013). (2013), Analysis of Immune-related loci identifies 48 new susceptibility variants for multiple sclerosis. Nature Genetics, 45, 1353-1360.
(2013). Effects of thalamic lesions on repeated relearning of a spatial working memory task. Behavioural Brain Research, 261C, 56-59. 10.1016/j.bbr.2013.12.002
(2013). A perceptual discrimination task results in greater facilitation of voluntary saccades in Parkinson’s disease patients. European Journal of Neuroscience, 37(1), 163-172. 10.1111/ejn.12033
2012
(2012). Defining asymptomatic status following sports concussion: fact or fallacy? British Journal of Sports Medicine, 46(8), 562-569. 10.1136/bjsm.2010.081299
(2012). Familiarization conditions and the mechanisms that underlie improved recognition of dysarthic speech. Language & Cognitive Processes, 27, 1039-1055. 10.1080/01690965.2011.610596
(2012). A review of interferon use in patients with relapsing remitting multiple sclerosis in the Canterbury region, New Zealand 2000-2006. New Zealand Medical Journal, 125 (1350, 37-44.
(2012). Swallowing neurorehabilitation: from the research laboratory to routine clinical application. Archives of Physical Medicine and Rehabilitation, 93, 207-213. 10.1016/j.apmr.2011.08.030
(2012). Effects of submental neuromuscular electrical stimulation on pharyngeal pressure generation. Archives of Physical Medicine and Rehabilitation, 93, 2000-2007. 10.1016/j.apmr.2012.02.015
(2012). Variability in Clinical Surface Electromyography Recording of Submental Muscle Activity in Swallowing of Healthy Participants. Asia Pacific Journal of Speech, Language, and Hearing, 15, 175-186.
(2012). Changes in chemosensitivity and mechanosensitivity in aging and Parkinson’s disease. Dysphagia, 27, 106-114.
(2012). The influence of motor and cognitive impairment upon visually-guided saccades in Parkinson’s disease. Neuropsychologia, 50, 3338-3347. 10.1016/j.neuropsychologia.2012.09.025
(2012). Intra- and inter-rater reliability for analysis of hyoid displacement measured with sonography. Journal of Clinical Ultrasound, 40, 74-78. 10.1002/jcu.20874
(2012). Grey matter atrophy in cognitively impaired Parkinson’s disease. Journal of Neurology, Neurosurgery & Psychiatry, 83(2), 188-194. 10.1186/2047-9158-1-17
(2012). Reduced striatal volumes in Parkinson’s disease: a magnetic resonance imaging study. Translational Neurodegeneration, 1(1), 17. 10.1186/2047-9158-1-17
(2012). Cerebral perfusion differences between drowsy and non-drowsy individuals following acute sleep restriction. Sleep, 35, 1085-1096. 10.5665/sleep.1994
(2012). Method for identifying eligible individuals for a prevalence survey in the absence of a disease register or population register. International Medical Journal, 42, 1207-1212.
(2012). The understanding of the concept of 'rest' in the management of a sports concussion by physical therapy students: A descriptive study. Physical Therapy in Sport, 13, 209-213. 10.1016/j.ptsp.2011.10.004
(2012). Geographical variations in sex ratio trends over time in multiple sclerosis. PLoS One, 7, e48078.. 10.1371/journal.pone.0048078
(2012). Impairment of voluntary saccades and facilitation of reflexive saccades do not co-occur in Parkinson’s disease. Journal of Clinical Neuroscience, 19, 1119-24. 10.1016/j.jocn.2011.10.014
2011
(2011). Effects of olfactory and gustatory stimuli on the biomechanics of swallowing. Physiology & Behavior, 102(5), 485-490.
(2011). Effects of repeated volitional swallowing on the excitability of submental corticobulbar motor pathways. Dysphagia, 26, 311-317.
(2011). Spreading the word on sports concussion: citation analysis of summary and agreement, position and consensus statements on sports concussion. British Journal of Sports Medicine, 45, 132-135.
(2011). Characterizing mild cognitive impairment in Parkinson’s disease. Movement Disorders, 26(4), 629-636. 10.1002/mds.23592
(2011). Task-dependent differences in corticobulbar excitability of the submental motor projections: Implications for neural control of swallowing. Brain Research Bulletin, 84, 88-93.
(2011). Pharyngeal pressure generation during tongue-hold swallows across age groups. American Journal of Speech Language Pathology, 20, 124-130.
(2011). Models of neurovascular coupling via potassium and EET signalling. Journal of Theoretical Biology, 286, 13-23. 10.1016/j.jtbi.2011.07.006
(2011). Assessment of older drivers in New Zealand: the current system, research, and recommendations. Australasian Journal of Ageing, 30, 148-155. 10.1111/j.1741-6612.2010.00478.x
(2011). Do complex models increase prediction of complex behaviours? Predicting driving ability in people with brain disorders. Quarterly Journal of Experimental Psychology, 64, 1714-1725.
(2011). Validity evaluation of a spatial memory task in virtual environments. International Journal of Design and Innovation Research, 6, 1-13.
(2011). Developing and comparing methods for measuring the content of care in mental health services. Social Psychiatry and Psychiatric Epidemiology, 46, 219-229.
(2011). Japanese street performer mimes violation of Hering’s Law. Neurology, 76, 1186-1187. 10.1212/WNL.0b013e318212a8ec
(2011). The effects of acute tryptophan depletion on neuropsychological function, mood and movement in the healthy elderly. Journal of Psychopharmacology, 25, 1337-1343. 10.1177/0269881110389094
(2011). Pharyngeal pressures during swallowing within and across 3 sessions: within-subject variance and order effects. Dysphagia, 26, 385-391. 10.1007/s00455-010-9324-y
(2011). Arterial spin labelling reveals an abnormal cerebral perfusion pattern in Parkinson’s disease. Brain, 134(3), 845-855. 10.1093/brain/awq377
(2011). Detection of lapses in responsiveness from the EEG. Journal of Neural Engineering, 8 (016033, 1-15. 10.1088/1741-2560/8/1/016003
(2011). Enhanced high-frequency membrane potential fluctuations control spike output in striatal fast-spiking interneurones in vivo. The Journal of Physiology, 589(17), 4365-81. 10.1113/jphysiol.2011.212944
(2011). Cannabis use and non-clinical dimensions of psychosis in university students presenting to primary care. Acta Psychiatr Scand, 123, 2. 10.1111/j.1600-0447.2010.01546.x
(2011). and the Wellcome Trust Case Control Consortium 2 (WTCCC2) (2011), Genetic risk and a primary role for cell-mediated immune mechanisms in multiple sclerosis. Nature, 476, 214-219. 10.1038/nature10251
(2011). Rotigotine effects on early morning motor function and sleep in Parkinson's disease: A double-blind, randomized, placebo-controlled study (RECOVER). Movement Disorders, 26, 90-9. 10.1002/mds.23441
(2011). Bottom-up effects modulate saccadic latencies in well-known eye movement paradigm. Psychological Research, 75, 272-278. 10.1007/s00426-010-0305-4
(2011). A perceptual discrimination task abnormally facilitates reflexive saccades in Parkinson's disease. European Journal of Neuroscience, 33, 2091-2100. 10.1111/j.1460-9568.2011.07697.x
2010
(2010). Effects of olfactory and gustatory stimuli on neural excitability for swallowing. Physiology & behavior, 101, 568-575. 10.1016/j.physbeh.2010.09.008
(2010). Neurological and systemic complications of tuberculous meningitis and its treatment at Auckland City Hospital, New Zealand. Journal of Clinical Neuroscience, 17, 1114-1118. 10.1016/j.jocn.2010.01.006
(2010). A review of tuberculous meningitis at Auckland City Hospital, New Zealand. Journal of Clinical Neuroscience, 17, 1018-1022. 10.1016/j.jocn.2010.01.007
(2010). Different lip asymmetry in adults who stutter: Electromyographic evidence during speech and non-speech. Folia Phoniatrica et Logopaedica, 62, 143 “147.. 10.1159%2F000287213
(2010). The MoCA: Well-suited screen for cognitive impairment in Parkinson’s disease. Neurology, 75, 1717-1725. 10.1212/WNL.0b013e3181fc29c9
(2010). Differential Effects of Neuromuscular Electrical Stimulation Parameters on Submental Motor Evoked Potentials. Neurorehabilitation and Neural Repair, 24, 519-527. 10.1177/1545968309360417
(2010). Diabetic retinopathy detection using geometrical techniques related to the underlying physiology. 25th International Conference of Image and Vision Computing New Zealand (IVCNZ). 10.1109/IVCNZ.2010.6148874
(2010). Comparison of a linear and non-linear model for using sensory-motor, cognitive, personality and demographic data to predict driving ability in healthy older adults. Accident Analysis and Prevention, 42, 1759 - 1768. 10.1016/j.aap.2010.04.017
(2010). The impact of dysphagia on quality of life in aging and Parkinson's disease as measured by the Swallaowing Quality of Life (SWAL-QOL) Questionnaire. Dysphagia, 25(3), 216 - 220. 10.1007/s00455-009-9245-9
(2010). Alternatives to standard acute inpatient care in England: differences in content of care and staff-patient contact. British Journal of Psychiatry, 197, s46-s51. 10.1192/bjp.bp.110.081117
(2010). The effects of acute tryptophan depletion on neuropsychological function, mood and movement in the healthy elderly. Journal of Psychopharmacology, 24(10), 1465 - 1472. 10.1177/0269881110389094
(2010). Effects of acute tryptophan depletion on mood in patients with Parkinson's disease and the healthy elderly. Journal of Psychopharmacology, 24, 615-619. 10.1177/0269881109105721
(2010). Characteristics of executive function impairment in Parkinson’s disease patients without dementia. Journal of the International Neuropsychological Society, 16, 268-277. 10.1017/S1355617709991299
(2010). Sensitivity to genuine versus posed emotion specified in facial displays. Cognition and Emotion, 24, 1277-1292. 10.1080/02699930903306181
(2010). Mild traumatic brain injury and fatigue: A prospective longitudinal study. Brain Injury, 24, 1528-1538. 10.3109/02699052.2010.531687
(2010). Measurement of BOLD changes due to cued eye-closure and stopping during a continuous visuomotor task via model-based and model-free approaches. IEEE Transactions on Neural Systems and Rehabilitation Engineering, 18(5), 479-488. 10.1109/TNSRE.2010.2050782
(2010). Alternatives to standard acute in-patient care in England: short-term clinical outcomes and cost-effectiveness. The British Journal of Psychiatry, 197, s14-s19. 10.1192/bjp.bp.110.081059
(2010). MS prevalence in New Zealand, an ethnically and latitudinally diverse country. Multiple Sclerosis, 16, 1422-1431. 10.1177/1352458510379614
(2010). Eye movements during transitive action observation have sequential structure. Acta Psychologica, 133(1), 51-56. 10.1016/j.actpsy.2009.09.001
(2010). Impaired sensorimotor integration in focal hand dystonia patients in the absence of symptoms. Journal of Neurology, Neurosurgery and Psychiatry, 81, 659-665. 10.1136/jnnp.2009.185637
2009
(2009). Genome-wide association study identifies new multiple sclerosis susceptibility loci on chromosomes 12 and 20. Nature Genetics, 41, 824-828. 10.1038/ng.396
(2009). Coupled autoregulation models in the cerebro-vasculature. Journal of Engineering Mathematics, 64, 403-415. 10.1007/s10665-009-9274-2
(2009). Test-retest reliability of motor evoked potentials (MEPs) at the submental muscle group during volitional swallowing. Journal of Neuroscience Methods, 178, 134-137. 10.1016/j.jneumeth.2008.12.005
(2009). Evaluation of manometric measures during tongue-hold swallows. American Journal of Speech and Language Pathology, 18, 65-73. 10.1044/1058-0360(2008/06-0061)
(2009). Impaired eye movements in post-concussion syndrome indicate suboptimal brain function beyond the influence of depression, malingering or intellectual ability. Brain, 132, 2850-70. 10.1093/brain/awp181
(2009). The Development of Swallowing Respiratory Coordination. Perspectives on Swallowing and Swallowing Disorders (Dysphagia), 18, 19-24.
(2009). Temporal resolution in swallowing neural control: the way forward. Clinical Neurophysiology, 120 (10), 1764-1765. 10.1016/j.clinph.2009.08.012
(2009). Performance in normal subjects on a novel battery of driving-related sensory-motor and cognitive tests. Behavior Research Methods, 42(1), 284-294. 10.3758/BRM.41.2.284
(2009). Virtual reality rehabilitation of spatial abilities after brain damage. Studies in Health Technology and Informatics, 144, 105-107.
(2009). The intralaminar thalamic nuclei contribute to remote spatial memory. Journal of Neuroscience, 29(10), 3302-3306. 10.1523/JNEUROSCI.5576-08.2009
(2009). Effects of acute tryptophan depletion on neuropsychological and motor function in Parkinson’s disease. Journal of Psychopharmacology, 00(00), 1-8. 10.1177/0269881109105721
(2009). The effect of attentional set-shifting, working memory and processing speed on pragmatic language functioning in Parkinson's disease. European Journal of Cognitive Psychology, 21(2), 330-346. 10.1080/09541440802281266
(2009). Cognitive characteristics associated with mild cognitive impairment in Parkinson’s disease. Dementia and Geriatric Cognitive Disorders, 289(2), 121-129. 10.1159/000235247
(2009). Assessing cognitive impairment in Parkinson's disease: A comparison of two tower tasks. Applied Neuropsychology, 16, 177-185. 10.1080/09084280903098661
(2009). Frontoparietal activity and its structural connectivity in binocular rivalry. Brain Research, 1305, 96-107. 10.1016/j.brainres.2009.09.08
(2009). Acute inflammatory encephalomyelitis following Campylobacter enteritis associated with high titre antiganglioside GM1 IgG antibodies. Journal of Clinical Neuroscience, 16, 597-8. 10.1016/j.jocn.2008.06.024
2008
(2008). Oculomotor function in multiple system atrophy: clinical and laboratory features in 30 patients. Movement Disorders, 23(7), 977-984. 10.1002/mds.21999
(2008). Bio-medical X-ray imaging with spectroscopic pixel detectors. Nuclear Instruments and Methods in Physics Research Section A: Accelerators, Spectrometers, Detectors and Associated Equipment, 591, 141-146. 10.1016/j.nima.2008.03.039
(2008). Coexisting cholinergic and parahippocampal degeneration: a key to memory loss in dementia and a challenge for transgenic models? Neurodegenerative Diseases, 5(5), 304-317. 10.1159%2F000135615
(2008). Multivariate analysis of diffusion tensor imaging data improves the detection of microstructural damage in young professional boxers. Magnetic Resonance Imaging, 26(10), 1398-1405. 10.1016/j.mri.2008.04.004
(2008). Dysphagia following stroke. Plural Publishing.
(2008). Effects of bolus volume on pharyngeal contact pressure during normal swallowing. Dysphagia, 23, 280-285. 10.1007/s00455-007-9137-9
(2008). Arousal has no effect on non-nutritive breathing-swallowing coordination during the first year of human life. International Journal of Developmental Neuroscience, 26, 385-390. 10.1016/j.ijdevneu.2008.03.006
(2008). A pilot study of respiration and swallowing integration in Parkinson’s "on" and "off" levodopa. Dysphagia, 23(1), 76 - 81. 10.1007/s00455-007-9100-9
(2008). Cognitive effects of acute tryptophan depletion in the healthy elderly. Acta Neuropsychiatrica, 20(2), 78-86. 10.1111/j.1601-5215.2008.00272.x
(2008). MRI with TRELLIS: a novel approach to motion correction. Magnetic Resonance Imaging, 26(4), 474-483. 10.1016/j.mri.2007.08.013
(2008). A profile of neuropsychiatric problems and their relationship to quality of life for Parkinson’s disease patients without dementia. Parkinsonism & Related Disorders, 14(1), 37-42. 10.1016/j.parkreldis.2007.05.009
(2008). Neuropsychiatric problems in Parkinson’s disease: Comparisons between self and significant other report. Aging and Mental Health, 12, 647-653. 10.1080/13607860802343225
(2008). The accuracy of the Unified Parkinson's Disease Rating Scale (UPDRS-Section 1) as a screening measure for depression. Parkinsonism and Related Disorders, 14(2), 170-172. 10.1016/j.parkreldis.2007.03.002
(2008). Planning in Parkinson's disease: A matter of problem structure? Neuropsychologia, 46, 384-389. 10.1016/j.neuropsychologia.2007.08.018
(2008). The recognition of facial expressions of emotion in Alzheimer's disease: A review of findings. Acta Neuropsychiatrica, 20(5), 236-250. 10.1111/j.1601-5215.2008.00315.x
(2008). Spectroscopic biomedical imaging with the Medipix2 detector. Australasian Physical & Engineering Science in Medicine, 31(4), 300-306.
(2008). Design of a modular and low-latency virtual-environment platform for applications in motor adaptation research, neurological disorders, and neurorehabilitation. IEEE Transactions on Neural Systems and Rehabilitation Engineering, 16, 298-309. r 10.1109/TNSRE.2008.922676
(2008). Detection of focal epileptiform events in the EEG by spatio-temporal dipole clustering. Clinical Neurophysiology, 119, 1756-1770. 10.1016/j.clinph.2008.04.009
(2008). Reflections on the use of the concept of plasticity in neurobiology. Translation and adaptation by Bruno Will, John Dalrymple-Alford, Mathieu Wolff and Jean-Christophe Cassel from J. Paillard, J Psychol 1976; 1:33-47. Behavioural Brain Research, 192, 6-10. 10.1016/j.bbr.2007.11.008
(2008). The concept of brain plasticity-Paillard's systemic analysis and emphasis on structure and function (followed by the translation of a seminal paper by Paillard on plasticity). Behavioural Brain Research, 192(1), 2-7. 10.1016/j.bbr.2007.11.008
(2008). The effect of effortful swallow on pharyngeal manometric measurements during saliva and water swallowing in healthy participants. Archives of physical medicine and rehabilitation, 89, 822-828. 10.1016/j.apmr.2007.08.167
(2008). Anterior but not intralaminar thalamic nuclei support allocentric spatial memory. Neurobiology Learning and Memory, 90(1), 71-80. 10.1016/j.nlm.2008.01.007
(2008). The extended hippocampal-diencephalic memory system: enriched housing promotes recovery of the flexible use of spatial representations after anterior thalamic lesions. Hippocampus, 18, 996-1007. 10.1002/hipo.20457
(2008). Don't look now or look away: Two sources of saccadic disinhibition in Parkinson's disease? Neuropsychologia, 46(13), 3108-3115. 10.1016/j.neuropsychologia.2008.07.002
2007
(2007). Effect of the Lee Silverman Voice Treatment (LSVT) on articulation in speakers with Parkinson's disease. New Zealand Journal of Speech-Language Therapy, 62, 29-36.
(2007). EEG-based behavioral microsleep detection with high temporal resolution. IEEE Transactions on Biomedical Engineering, 54, 832-839. 10.1109/TBME.2007.893452
(2007). Clinical measurement of pharyngeal surface electromyography: exploratory research. Neurorehabilitation and Neural Repair, 21, 250-262. 10.1177/1545968306293448
(2007). Mild head injury - a close relationship between motor function at one week post-injury and overall recovery at three and six months. Journal of the Neurological Sciences, 253, 34-47. 10.1016/j.jns.2006.11.007
(2007). Dichotomy between symptom status and quality of life during the first year after mild head injury - intellectual ability influences the perception of recovery. Journal of Rehabilitation Medicine, 39(8), 612 - 621.
(2007). Recovery in the first year after mild head injury - divergence of symptom status and self-perceived quality of life. Journal of Rehabilitation Medicine, 39, 612-621. 10.2340/16501977-0100
(2007). Emerging modalities in dysphagia rehabilitation: neuromuscular electrical stimulation. New Zealand Medical Journal, 120.
(2007). Sensory-motor and cognitive tests predict driving ability of persons with brain disorders. Journal of the Neurological Sciences, 260(1-2), 188-98. 10.1016/j.jns.2007.04.052
(2007). The influence of volition on breathing-swallowing coordination in healthy adults. Behavioural Neuroscience, 121, 1174-1179. 10.1037/0735-7044.121.6.1174
(2007). The first year of human life: coordinating respiration and nutritive swallowing. Dysphagia, 22, 37-43. 10.1007/s00455-006-9038-3
(2007). The early impact of feeding on infant breathing-swallowing coordination. Respiratory Physiology & Neurobiology, 156(2), 147-153. 10.1016/j.resp.2006.09.007
(2007). Integrating Swallowing and Respiration: Effect of Body position. Journal of Medical Speech Pathology, 15(4), 347-355.
(2007). The influence of taste on swallowing apnea, oral preparation time, and duration and amplitude of submental muscle contraction. Chemical Senses, 32, 119-128. 10.1093/chemse/bjl037
(2007). Towards therapy to relieve memory impairment after anterior thalamic lesions: improved spatial working memory after immediate and delayed postoperative enrichment. European Journal of Neuroscience, 26(11), 3267-3276. 10.1111/j.1460-9568.2007.05879.x
(2007). Treatment of articulatory impairment in a child with spastic dysarthria associated with spastic cerebral palsy. Developmental Neurorehabilitation, 11(1), 81-90. 10.1080/17518420701622697
(2007). The influence of orolingual pressure on the timing of pharyngeal pressure events. Dysphagia, 22, 30-6. 10.1007/s00455-006-9037-4
2006
(2006). Distribution of microstructural damage in the brains of professional boxers: A diffusion MRI study. Journal of Magnetic Resonance Imaging, 24, 537-42. 10.1002/jmri.20656
(2006). Odour-place paired-associate learning and limbic thalamus: Comparison of anterior, lateral and medial thalamic lesions. Behavioral Brain Research, 172(1), 155-168. 10.1016/j.bbr.2006.05.017
(2006). Motor deficits and recovery during the first year following mild closed head injury. Brain Injury, 20, 807-824. 10.1080/02699050600676354
(2006). Models of Rehabilitation in Dysphagia Management. Rehabilitation von Dysphagien, 37-171.
(2006). An analysis of lingual contribution to submental surface electromyographic measures and pharyngeal pressure during effortful swallow. Archives of Physical Medicine and Rehabilitation, 87, 1067-1072. 10.1016/j.apmr.2006.04.019
(2006). Measurement of sensory-motor control performance capacities: Tracking tasks, 3rd Ed, In Bronzino JD (Ed. The Biomedical Engineering Handbook - Biomedical Engineering Fundamentals, Volume 1, 1-25, CRC Press, Boca Raton, Florida. .
(2006). The coordination of respiration and swallowing for volitional and reflexive swallows - a pilot study. Journal of Medical Speech Language Pathology, 14(2), 67-77.
(2006). Nutritive and non-nutritive swallowing apnea duration in term infants: Implications for neural control mechanisms. Respiratory Physiology and Neurobiology, 154(3), 372-378. 10.1016/j.resp.2006.01.009
(2006). The neural implications of nutritive and non-nutritive swallowing apnea duration in term infants. New Zealand Journal of Speech-Language Therapy, 61, 52. 10.1016/j.resp.2006.01.009
(2006). Dissociation of egocentric and allocentric spatial processing in medial thalamus. Learning & Memory, 13, 388-396. 10.1101/lm.122206
(2006). Lateral and anterior thalamic lesions impair independent memory systems. Learning and Memory, 13(3), 388-396. 10.1101/lm.122206
(2006). 3D models of blood flow in the cerebral vasculature. Journal of Biomechanics, 39, 1454-1463. 10.1016/j.jbiomech.2005.04.005
(2006). Frequent lapses of responsiveness during an extended visuomotor tracking task in non-sleep-deprived subjects. Journal of Sleep Research, 15, 291-300. 10.1111/j.1365-2869.2006.00545.x
(2006). Beyond spatial memory: the anterior thalamus and memory for the temporal order of a sequence of odor cues. Journal of Neuroscience, 26(11), 2907-2913. 10.1523/JNEUROSCI.5481-05.2006
2005
(2005). Detection of focal cerebral hemisphere lesions using the neurological examination. Journal of Neurology Neurosurgery and Psychiatry with Practical Neurology, 76, 545-549. 10.1136/jnnp.2004.043679
(2005). Refining the perfusion-diffusion mismatch hypothesis. Stroke, 36, 1153-1159. 10.1161/01.STR.0000166181.86928.8b
(2005). Widespread access to predictive models in the motor system: a short review. Journal of Neural Engineering, 2, S313-319. 10.1088/1741-2560/2/3/S11
(2005). Common encoding of novel dynamic loads applied to the hand and arm. Journal of Neuroscience, 25, 5425-5429. 10.1523/JNEUROSCI.0429-05.2005
(2005). 12 month experience of acute stroke thrombolysis in Christchurch: Emergency Department screening and acute stroke service treatment. New Zealand Medical Journal, 118(1214), U1430.
(2005). Insular cortex infarction in acute middle cerebral artery territory stroke: predictor of stroke severity and vascular lesion. Archives of Neurology, 62(7), 1081-1085.
(2005). The impact of mild closed head injury on involuntary saccadic adaptation - evidence for the preservation of implicit motor learning. Brain Injury, 19, 109-117. 10.1080/02699050410001720095
(2005). Timing of pharyngeal and upper esophageal sphincter pressures as a function of normal and effortful swallowing in young healthy adults. Dysphagia, 20, 149-156. 10.1007/s00455-005-0008-y
(2005). Rehabilitation models in dysphagia management: A case for swallowing apraxia and spastic dysphagia. In S. Stanschus (Ed.), Methoden in der Klinischen Dysphagiologie (Volume, ). Schulz-Kirchner Verlag, Idstein.
(2005). Submental surface electromyographic measurement and pharyngeal pressures during normal and effortful swallowing. Archives of physical medicine and rehabilitation, 86, 2144-2149.
(2005). Repeatability of the acoustic swallowing pattern in normal subjects. Journal of Medical Speech Pathology, 13(3), 213-221.
(2005). Memory-guided saccades in Parkinson's disease: long delays can improve performance. Experimental Brain Research, 161, 293-298. 10.1007/s00221-004-2071-2
(2005). Dissociable memory effects after medial thalamus lesions in the rat. European Journal of Neuroscience, 22, 973-985. 10.1111/j.1460-9568.2005.04199.x
(2005). One-dimensional and three-dimensional models of cerebrovascular flow. Journal of Biomechanical Engineering, 127(3), 440-449.
(2005). Impact of decentralised control in cerebral blood flow auto-regulation using 1D and 3D models. International Journal of Intelligent Systems Technologies and Applications, 1, 95-110.
(2005). Reversible posterior leunkoencephalopathy (RPL) syndrome - a misnomer reviewed. Intern Medical Journal, 35(2), 83 - 90.
(2005). Slow-wave activity arising from the same area as epileptiform activity in the EEG of paediatric patients with focal epilepsy. Clinical Neurophysiology, 116, 9-17. 10.1016/j.clinph.2004.07.032
(2005). Advanced Neurological Magnetic Resonance Imaging. New Zealand Science Review, 62, 26-27.
2004
(2004). A new rat model of the human serial reaction time task: contrasting effects of caudate and hippocampal lesions. Journal of Neuroscience, 24, 1034-1039. 10.1523/JNEUROSCI.3340-03.2004
(2004). Scaling down motor memories: de-adaptation after motor learning. Neuroscience Letters, 370, 102-107. 10.1016/j.neulet.2004.08.003
(2004). Internal models underlying grasp can be additively combined. Experimental Brain Research, 155, 334-340. 10.1007/s00221-003-1730-z
(2004). Perception of muscle strength with and without biofeedback during swallowing and fist clenching tasks. Contemporary Issues in Communication Science and Disorders, 31, 225 - 235.
(2004). Eye movement and visuomotor arm movement deficits following mild closed head injury. Brain, 127, 575-590. 10.1093/brain/awh066
(2004). Der Einfluss von Morbus Parkinson auf die Ausfuhrung von Sakkaden [The influence of Parkinson’s disease on the execution of saccades]. Orthoptik Pleoptik, 28, 68-80.

_2026.pdf.jpeg)







_2025.pdf.jpeg)













_2024.pdf.jpeg)


_2024.pdf.jpeg)


























_2024.pdf.jpeg)





_2024.pdf.jpeg)











_2023.pdf.jpeg)












































































_2021.pdf.jpeg)











































_2019.pdf.jpeg)





























































































































































































_2009.pdf.jpeg)




















































- The-Biomedical-Engineering-Handbook-_-Biomedical-Engineering-Fundamentals_2006.pdf.jpeg)












_2005.pdf.jpeg)












